登录
首 页
政务公开
政务服务
交流互动
走进三角
首页 > 中山市部门镇街 > 三角镇网站 > 村务公开 > 蟠龙村
您当前的位置:
>
>
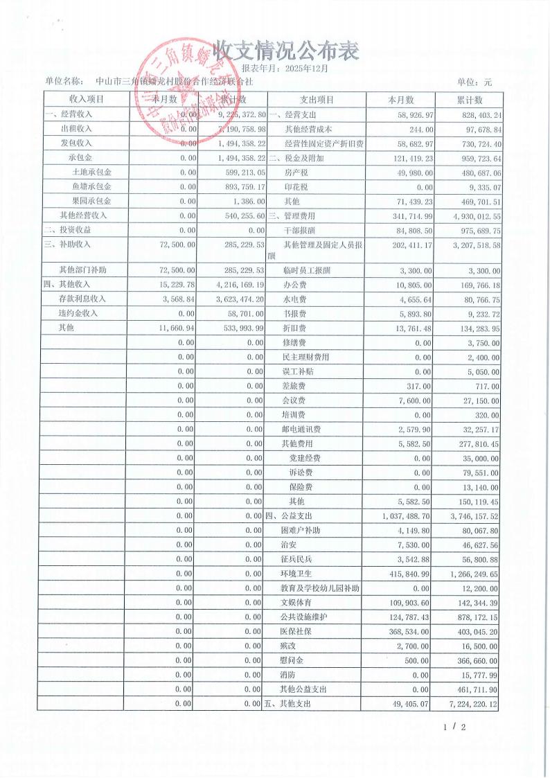
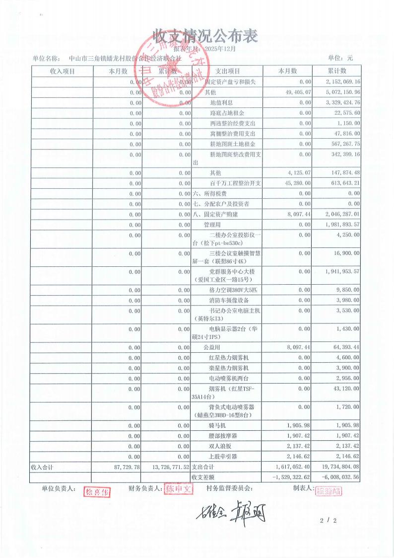
蟠龙村2025年12月财务公开
信息来源:蟠龙村
发布日期:2026-01-10
分享:
附件下载:
蟠龙村2025年12月财务公开.pdf
打印
关闭
中山市部门镇街
>
三角镇网站
>
村务公开
>
蟠龙村